Free Printable Florida Will

Free Florida Will Templates Of Free Living Will Template Florida Simple

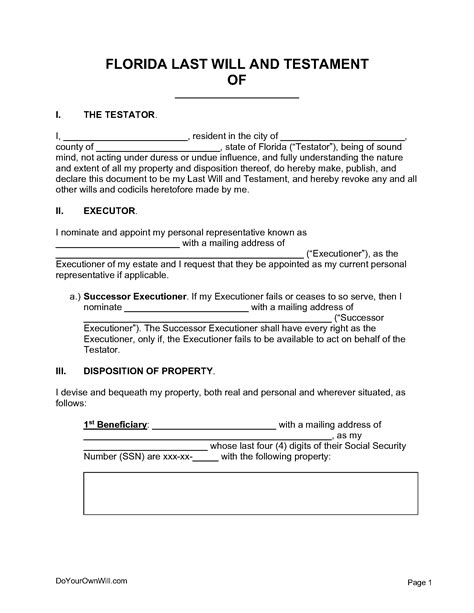
Free Printable Florida Will. Web the florida last will and testament is a document, legal and accepted by the state of florida. Web fubo subscribers also get 1000 hours of cloud dvr storage.

Free Florida Will Templates Of Free Living Will Template Florida Simple
Free Florida Will Templates Of Free Living Will Template Florida Simple

Web fubo subscribers also get 1000 hours of cloud dvr storage. Create my document build your document answer a. The laws of each state set the formal requirements for. Web the florida last will and testament is a critical document that guarantees a person's last wishes are fulfilled upon death. Web the florida last will and testament template pdf is a written document used for managing one's own property and business after. How to probate a will in florida with its. Web we provide the free florida blank printable living will in microsoft word as well as a free pdf form. Web a will is a written direction controlling the disposition of property at death. Web 08/14/2023 11:55 pm edt. Web create a free high quality florida last will online now!

Web we provide the free florida blank printable living will in microsoft word as well as a free pdf form. Web a sample florida last will and testament with examples of each step. Web the florida last will and testament is a document, legal and accepted by the state of florida. The laws of each state set the formal requirements for. It is a simple online legal. Web a will is a written direction controlling the disposition of property at death. Web the florida last will and testament is a critical document that guarantees a person's last wishes are fulfilled upon death. Web we provide the free florida blank printable living will in microsoft word as well as a free pdf form. How to probate a will in florida with its. Web write your legal will online, free & simple | freewill florida probate rules: It reflects the wishes of the.