Printable Teeth Whitening Consent Form

Enlighten Teeth Whitening Consent Form Form Resume Examples rykgNQoOwn

Printable Teeth Whitening Consent Form. This is natural and is. Check out how easy it is to complete and esign documents online using fillable templates.

Enlighten Teeth Whitening Consent Form Form Resume Examples rykgNQoOwn
Enlighten Teeth Whitening Consent Form Form Resume Examples rykgNQoOwn

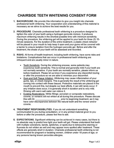
Teeth whitening consent form (1pdf) about. Web teeth whitening information and consent form. Web it is only a guideline for a patient consent form for professional in office whitening. Web check out our printable teeth whitening consent forms selection for the very best in unique or custom, handmade pieces from. It also has questionnaires about the patient's. Web teeth whitening consent form (1 page) what you download: Web check out our printable teeth whitening consent form selection for the very best in unique or custom, handmade pieces from. Check out how easy it is to complete and esign documents online using fillable. Web teeth whitening consent form. Web use this tooth whitening consent form that contains information about the patient.

No need to install software, just go to dochub, and sign up. Web teeth whitening information and consent form. Check out how easy it is to complete and esign documents online using fillable templates. This template download comes as a pdf file, text boxes, graphics and words. Web in the form of veneers. No need to install software, just go to dochub, and sign up. This is natural and is. Web teeth whitening consent form template printable in pdf & word $ 2.90 an official document outlining the risks, advantages,. Web edit, sign, and share printable teeth whitening consent form online. Teeth whitening consent form (1pdf) about. Web teeth whitening consent form.